在后全球化时代,国家间竞争加剧了大国产业链供应链断供风险,产业政策成为发展中国家和转型经济体提升战略产业竞争力的必要手段。针对这一议题,本期介绍《国际商务研究》于2025年11月18日在中国知网进行网络首发的论文,其题目为《产业集群政策如何提升企业劳动生产率:来自俄罗斯的经验证据》,由徐睿迪(北京大学),余淼杰(辽宁大学),赵子龙(辽宁大学)合作发表。

研究背景
自2014年克里米亚危机以来,西方对俄罗斯实施了多轮次、高强度的制裁,导致产业链阻断风险显著上升。为应对制裁调整,俄罗斯加大产业政策力度,并采取产业集群政策等一系列政策工具,试图重振国内制造业并强化经济自主性。此外,俄罗斯政府高度重视提升劳动生产率,这对于缓解其劳动力供给严重短缺、保障经济安全而言至关重要。鉴于上述背景,文章聚焦俄罗斯产业集群政策对企业劳动生产率的影响,系统分析政策实施路径与作用机制。
实证策略
(1)回归模型
自2015年7月31日第779号决议出台以来,俄罗斯工业和贸易部陆续扩大产业集群试点范围,构成了良好的准自然实验环境。本文依据企业加入国家级产业集群清单的时间,设定不同政策冲击时点,将样本划分为处理组和对照组,构建了如下多期DID模型:

其中,下标i、t分别代表企业、年份。LP it表示企业劳动生产率,Cluster it表示产业集群设立,FirmControl it表示企业层面随时间变化的控制变量。γi、λt分别表示企业、年份层面的固定效应,分别控制企业不随时间变化的不可观测因素、所有企业在某一年内面临的相同宏观冲击。εit表示残差项。
(2)数据来源
文章构建的综合数据库包括:一是俄罗斯1999—2023年企业微观数据库,来源于俄罗斯企业信用和分析系统Spark。二是俄罗斯产业集群特征数据库,来源于俄罗斯联邦工业和贸易部产业集群清单,覆盖所有获得官方认可与支持的产业集群。
研究结果
表1报告了俄罗斯产业集群政策对企业劳动生产率影响效应的回归结果。其中,第(1)列控制企业和年份固定效应但未加入控制变量及聚类;第(2)列在此基础上引入控制变量;第(3)列进一步在企业层面聚类;第(4)列参考杨梦俊和喻理(2024),引入省份-行业-年份固定效应,以剔除同期其他地区政策冲击影响。结果显示,无论在何种情形下,产业集群设立的回归系数均显著为正,表明政策对企业劳动生产率具有显著正向影响,结果稳健。

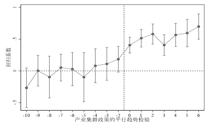
文章采取稳健性检验方法包括:平行趋势估计、安慰剂检验和多期倾向得分匹配—双重差分法(PSM-DID法)等,回归结果均保持稳健。图1平行趋势检验结果显示:在政策落地前(-10期至-1期)处理组与对照组之间的回归系数大多接近零且不显著,与平行趋势假设一致。政策实施后(0期及以后),回归系数大多为正且显著,说明产业集群政策对企业劳动生产率有持续且积极的效应。

原因机制
文章提出三条可能的影响机制:一是“协同效应”。该效应体现为集群企业间的合作、学习与竞争,可优化技术与管理水平,同时降低信息不对称、促进供需匹配,从而提升劳动生产率。分析结果表明:产业集群设立能够推动企业共同实施联合生产项目,发挥“协同效应”。二是“规模效应”。该效应通过产业集聚实现资源共享与技术溢出,增强生产效率。分析结果表明:政策能够扩大企业规模,形成“规模效应”。三是“管理效应”。该效应包括盈利能力和营运效率提升,前者有助于掌握市场需求、稳定产销关系,后者则有助于优化运营流程。分析结果表明:产业集群政策主要通过增加盈利能力来实现“管理效应”,企业加入产业集群有利于增强客户黏性,保障产品顺利销售,扩大收入份额;然而,产业集群政策不利于企业营运效率提升,这会一定程度上削弱“管理效应”。

政策含义
面对贸易制裁、技术封锁等外部压力,可以加大对“卡脖子”战略性行业的资源投入,采取专项财政补贴、税收减免及融资优惠等政策,完善联合生产与研发的激励机制,鼓励企业间加强协同生产、联合攻关核心技术,进而增强产业链的韧性与竞争力,提升关键领域的自主生产能力,进而强化经济主权与经济韧性。此外,还需要合理调整产业结构与优化产业布局,特别是加强高端制造业的培育与发展,确保关键战略性产业的核心竞争力,进一步增强经济抵御外部风险的能力。

扫码下载原文