制度不仅决定了贸易的比较优势,更深刻影响着全球价值链中的产品质量与价格竞争。本期介绍发表于经济学顶级期刊The Economic Journal 2022年4月第132卷第643期的一篇重磅研究。论文题目为Judicial Quality, Input Customisation and Trade Margins: The Role of Product Quality (中文译名:《司法质量、定制化投入品和贸易边际:产品质量的作用》)该文由崔晓敏(中国社会科学院)、余淼杰(辽宁大学)以及张睿(丹麦奥胡斯大学) 三位学者合作发表。

制度环境一直被视为塑造比较优势的关键力量,既有经典文献(如 Levchenko, 2007; Nunn, 2007)主要证实了良好的契约环境能促进一国在契约密集型行业的出口规模。然而,既有研究多聚焦于贸易的“量”,却忽视了贸易的“质”与“价”。本文填补了这一空白,作者将中间投入品和司法质量嵌入到经典的李嘉图模型和EK模型中。文章通过这一扩展模型发现了一个耐人寻味的非对称结果:在出口侧,司法质量的改善虽然促进了企业质量升级,但也引入了更多低端出口商(广度边际),两者的抵消作用使得出口价格和质量总体保持稳定;但在进口侧,良好的司法环境引发了激烈的国内竞争,通过“优胜劣汰”的筛选机制,导致该国倾向于进口价格更高、质量更好的商品。这一发现不仅丰富了我们对制度比较优势的理解,更揭示了法治建设对于提升贸易质量和国内消费福利的深层意义。
研究背景
在现代全球价值链中,复杂产品的生产高度依赖定制化投入品(如特制的芯片或引擎)。这引发了经济学中经典的“敲竹杠”问题(Hold-up Problem):供应商担心为特定买家定制的配件事后被“压价”,因此不敢投入资源提升质量。
司法质量在此起到了关键作用:
• 制度比较优势:高效的司法体系能保障合同执行,消除供应商顾虑,使其敢于生产高质量的中间品。这验证了Levchenko (2007) 和Nunn (2007)关于“制度也是比较优势”的经典论断。
• 研究缺口:以往研究主要关注制度如何增加贸易的数量(即“卖得多”)。而本文进一步指出,既然好制度带来了好投入,那么它必将深刻重塑贸易的价格与质量(即“卖得贵”或“买得好”)——这正是本文试图填补的理论空白。
理论模型
本文构建了一个理论框架,将契约环境(Contracting Environment)引入内生产品质量决定中,并将其嵌入到经典的Eaton & Kortum(2002) 贸易模型中。
文章的理论推导遵循以下六个逻辑步骤:
1. 需求端设定:消费者偏好“有效消费”
与传统模型不同,文章设定消费者最大化 CES效用函数,且关注的是“有效消费量”(Effective Consumption),即数量q与质量z的乘积:
Q(ω)=q(ω)*z(ω)
这意味着在消费者眼中,一个高质量产品抵得上多个低质量产品。这一设定推导出:在价格一定时,质量越高,市场需求越大。这为企业进行“质量升级”提供了最根本的市场动力。
2. 生产端 I:投入采购与“敲竹杠”风险
生产最终产品需要两种截然不同的投入:
标准化投入(Standardised Input):如通用的螺丝或电力。这类产品市场通用性强,供应商随时可以转卖,因此不存在被违约的风险。
定制化投入(Customised Input):如特制的引擎或芯片。这类产品具有极高的“关系专用性”(Relationship-specificity),一旦生产便难以转卖给第三方。
正是因为定制化投入“没法转卖”,供应商极易面临买家事后压价的“敲竹杠”(Hold-up)风险,而这正是司法质量发挥作用的地方。作者引入δ∈(0,1) 衡量司法质量。δ越低,合同执行越难,供应商风险越大。
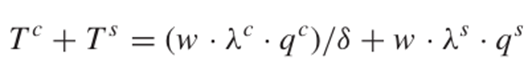
为了补偿风险,供应商会要求更高的价格,导致定制化投入的有效成本膨胀:

公式中的 1/δ。这说明糟糕的司法环境相当于对定制化投入征收了一笔“隐性税收”,迫使企业减少使用定制化部件。
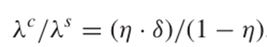
3. 生产端 II:投入组合与契约密集度
企业如何配置两种投入?假设最终产品质量取决于投入品组合(Cobb-Douglas 形式):

参数η:定义为契约密集度(Contract Intensity),衡量该行业对定制化投入的依赖程度。
企业成本最小化的一阶条件显示:

司法质量δ越高,企业越倾向于配置高质量的定制化投入。且对于契约密集型行业(高 η),司法改善带来的成本降低效应最明显。
4. 生产端 III:最终产品质量的内生决定
企业最终生产什么质量?这取决于两类成本的博弈:
投入成本(凸函数):随着质量提升,原材料成本呈指数级上涨。这意味着质量越高,边际成本越昂贵,制约了企业无限提升质量。
服务成本(凹函数):如运输和质检。存在“华盛顿苹果效应”,即相对于产品价值,高质量产品的单位服务成本更低,这激励了企业提升质量。
企业在“昂贵的投入”与“相对便宜的服务”之间寻找平衡点(成本最小化),从而确定了最优质量:

这是微观层面的核心结论。δη项:司法质量δ越好,企业的最优产品质量z越高(质量升级);φ项:生产率越高的企业,生产的产品质量也越好。
5. 宏观均衡:嵌入EK模型
作者将微观机制嵌入EK模型,假设生产率服从 Fréchet 分布,推导出三个宏观推论:
引理1(贸易份额):推导出了双边贸易概率πdo,确认司法质量δ进入了引力方程,构成了比较优势。
观点1(价格指数):证明了全球司法质量提升会加剧竞争(Φd上升),从而降低各国的物价指数(Ψd下降),提升消费者福利。
引理2(贸易价格分解):这是最关键的一步。出口价格被分解为集约边际与广度边际:

司法质量对出口价格的影响是两个相反力量博弈的结果:一方面,司法改善促使现有企业进行质量升级,推高了产品单价(集约边际);另一方面,较低的门槛吸引了大量生产低端廉价产品的新企业进入出口市场,拉低了整体均价(广度边际)。在 Fréchet 分布下,模型预测这两个效应在数学上精确地相互抵消。
6. 比较静态分析:核心命题
最后,文章总结出可供实证检验的命题:
观点2(贸易模式):
• 出口:司法越好,契约密集型产品出口越多(比较优势确认)。
• 进口:司法越好,进口越少(因为本国产品太强,发生了进口替代)。观点3(价格与质量):
出口:


司法质量对出口价格和质量无显著影响(因为上述两个效应抵消)。
进口:


司法越好,进口价格和质量显著越高。这是因为好制度带来了激烈的国内竞争,产生了一种 “筛选效应”,淘汰了低质量的外国货,只留下了精品。
实证检验
为了验证上述理论预测,本文使用了涵盖198个国家的双边贸易数据(UN Comtrade),并结合input-output表计算了各行业的契约密集度。
1. 识别策略:跨国与跨行业的双重对比
作者并没有简单地比较富国和穷国,而是采用了一种更精细的对比方法(DID逻辑):考察“司法质量高的国家”在“契约密集型行业”中的表现是否具有显著的额外优势(Premium)?
“交互项”的设计,能够剥离掉国家层面(如GDP)和行业层面(如技术复杂度)的固有差异,精准捕捉制度环境的影响。
2. 核心证据I:贸易模式的验证(Figure 1)
下图(Figure 1)直观展示了司法质量对贸易份额的影响:

• 左图(出口):拟合线显著向上。说明司法质量越好,该国在契约密集型行业的出口份额越高(验证了比较优势)。
• 右图(进口):拟合线显著向下。说明司法质量越好,该国在契约密集型行业的进口份额越低。
正如理论所预测的,好制度造就了强大的国内企业,通过“进口替代”效应挤压了外国产品的市场空间。
3. 核心证据 II:价格与质量之谜(Figure 2)
这是本文最有趣、也最反直觉的发现。理论预测出口价格存在“零效应”,而进口价格存在“筛选效应”,数据是否支持?

左图(出口价格):一条“躺平”的线。 拟合线几乎水平(回归系数不显著)。这完美验证了理论模型中的 “抵消效应”:企业质量升级带来的“涨价动力”与低端企业涌入带来的“降价压力”在宏观上相互抵消。这告诉我们:不要简单地以为“制度好”就等于出口“卖得贵”。
右图(进口价格):一条昂扬的“上扬线”。 拟合线显著向上倾斜。这证实了残酷的 “筛选效应”:激烈的国内竞争淘汰了低质量、低价格的外国货,只有昂贵的“精品”才能挤进高法治国家的市场。
4. 排除内生性
有人可能会问:是不是因为国家出口做得好,才有钱去建设法治?为了排除这种“反向因果”,作者使用了一个经典的工具变量——法律渊源(Legal Origin)。一个国家的法律体系是几百年前确定的(如英国普通法系 vs 德国/法国大陆法系),它决定了今天的司法效率,但显然不会受今天的贸易影响。使用这一工具变量后,结论依然稳健。
现实映照
为了验证制度变迁在时间维度上的影响,作者将目光投向了“亚洲四小龙”(韩国、新加坡、中国香港、中国台湾)。
这四个经济体在过去几十年间不仅实现了经济腾飞,其法治水平也经历了显著的提升。作者借用贸易理论中的“雷布津斯基效应”(Rybczynski Effect,即要素积累会改变生产结构),提出了司法质量的“准雷布津斯基效应”: 随着一国法治水平的不断提升,其出口结构会自然而然地向契约密集型行业转移。
数据验证(Figure 3):

这张跨越40年(1978-2018)的图表清晰地展示了这一趋势:
• 随着时间的推移,亚洲四小龙在高契约密集度行业(横轴右侧)的世界市场份额(纵轴)显著上升。
• 这表明,法治建设不仅仅是经济增长的结果,更是推动制造业向价值链高端攀升的核心动力。
结论与启示
本文超越了传统贸易理论仅关注“流量”的视角,通过引入 “产品质量”这一核心变量,揭示了司法质量影响国际贸易的深层机制。
研究发现,优良的司法体系不仅是比较优势的来源,更是质量升级的催化剂。它一方面通过缓解供应链中的“敲竹杠”风险,激励本国企业敢于进行专用性投资,提升产品附加值;另一方面,它通过构建激烈的国内竞争环境,像“筛子”一样过滤掉低质量的外国商品,从而提升整体的消费和生产质量。
这为致力于实现“高质量发展”的转型经济体提供了重要的政策启示:制造业的升级不仅依赖于资本和技术的硬件投入,更离不开法治环境的“软基建”支撑。想要在全球价值链中从“制造”走向“智造”,建设一个高效、公正的契约执行环境,或许是比单纯的产业补贴更为关键的制度供给。

扫码下载原文