全球价值链会如何重塑贸易政策的政治逻辑?本期介绍一篇发表于《国际经济学杂志》(Journal of International Economics)2021年第131卷的文章,题为“The political economy of protection in GVCs: Evidence from Chinese micro data”。该文由Rodney D. Ludema、Anna Maria Mayda(乔治城大学Georgetown University)、余智(中国人民大学)和余淼杰合作撰写。

文章背景
以全球价值链中的苹果手机生产为例:中国加工企业从美国、日本、韩国等地分别进口CPU、芯片、摄像头等关键零部件,并将最终产品销往全球。在这种情况下,虽然美日韩等国的其他手机生产商可能支持对中国苹果手机的进口贸易保护,但其国内的零部件供应商又会对政府的这一政策产生何种影响呢?
本文基于23个国家对华的贸易政策数据和中国企业层面的加工贸易数据,重点关注进口中间品定制化程度和政治组织,对DVA份额影响贸易政策的机制进行理论探讨和实证检验。
理论分析
(1)中间品定制化程度
在生产函数中,文章引入了关键参数α用于衡量中间品定制化程度。当α=1时,中间品为完全定制,价格在各目的地间独立;当α=0时,中间品同质,价格全球一致。
(2)贸易条件动机
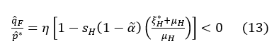
文章求解出中间品价格的均衡封闭解,并通过进一步比较静态分析,得到引理1:

该引理说明中间品定制化程度影响贸易条件:当α=1(完全定制)时,式(13)不满足,这是因为关税提高会恶化来源国中间品贸易条件;当α=0(中间品同质)时,式(13)也不一定成立,取决于规模效应和再分配效应两种影响。
(3)最优关税
来源国福利为国内消费者剩余、最终品和中间品市场要素收入和关税收入之和。加入政治组织后的最优关税可表示为:

与研究相关的关键变量有:其一,qFXHF/P*Mh为DVA份额,θ*是进口最终品中的国内增加值成分;其二,可表示贸易条件动机,由式(13)决定;最后,λHI和λH分别为来源国上下游厂商的政治组织。
(4)命题
根据上述理论推导,文章提出三个命题:命题一为DVA份额的直接效应:当中间品定制化程度足够高时,最优关税随DVA份额的增加而降低;当中间品同质化且满足式(13)时,最优关税随DVA份额的增加而上升;命题二为政治盟友情形:当DVA份额足够小,两部门形成政治同盟支持进口贸易保护;命题三为利益分化情形:随着DVA份额的增加,上游中间品供应商不再支持进口贸易保护,两部门对贸易政策的态度分化。
关键指标
(1)对华贸易政策变量
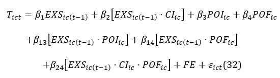
对华贸易政策变量有两种:一种是HS6位码产品的优惠关税(Tict),另一种是针对中国的反倾销立案虚拟变量(ADict)。
(2)DVA份额代理变量
采用EXS作为DVA份额代理变量,其中,贸易数据来自于中国进料加工贸易(PWI),时间为2000-2006年。

对进口最终品的关税可能会影响该产品的进口,即EXS的分母项,从而导致反向因果。文章利用美国进口运费率和各国到中国的距离推算各国从华进口中间品的运输成本,并以中国PWI基年进口份额加权加总至产品层面,构建了工具变量TCEXict。
(3)中间品定制化程度
遵循Rauch(1999)对产品的分类和Nunn(2007)方法,对c国出口用于生产最终品i的各中间品j,计算加权加总的最终品层面中间品定制化指数(CIic)。

(4)上下游的政治组织
遵循Grossman和Helpman(1994)的框架和Ludema和Mayda(2013)提供的行业层面贸易协会数据来代理政治组织数据。具体构建方法与CIic类似。POIic和POFic分别表示c国行业上、下游的政治组织。
实证检验
(1)基本检验

此外,文章还控制了CIic、CIic和POFic的交乘项,固定效应为来源国—年份和产品—年份层面。
根据表(6)结果,首先,β1不显著,与引理1的预期一致;β2显著为负,表明定制化程度越高,DVA份额对最终品关税的削弱效应越强,与命题一相符;β3和β4显著为正,完美支持命题二(政治盟友情形);而β13和β14的实证结果支持了命题三(利益分化情形);最后,β24显著为负,表明高定制化程度会削弱最终品生产商在全球化背景下寻求保护的动机。

(2)稳健性检验
文章稳健性检验分为三组:第一组针对DVA份额测量误差,第二组更换因变量的测量方式,包括区分贸易关税优惠的集约边际和广度边际,以及更换ADict变量为反倾销措施实施虚拟变量;第三组采用替代方式构建关键变量EXS、CI等。(例如采用Khandewal质量阶梯指数构建CI指标)系列检验表明,研究结果保持稳健。(部分结果见表(7))

研究结论
本文分析探讨了具有政治组织的上下游厂商对进口最终品贸易保护水平的影响,研究发现:当来自中国的最终进口产品中的DVA份额较小时,上下游的政治组织均会推动对下游产业的贸易保护水平。但随着DVA份额的增大,前者(有政治组织的中间品供应商)对贸易保护的促进作用会减弱。对于所含中间品既非定制化也无政治组织参与的产品,DVA份额对其保护水平无显著影响。

扫码阅读全文